生活信息
微信扫一扫
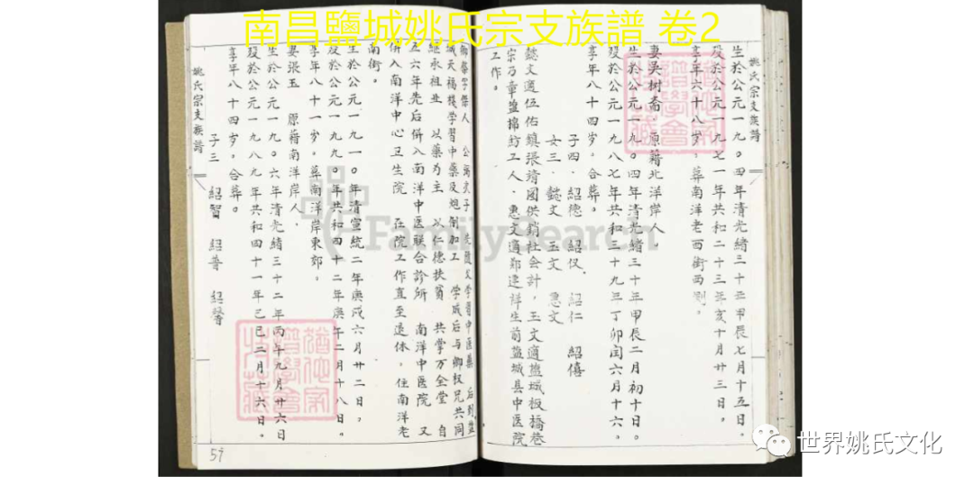
南昌鹽城姚氏宗支族譜[總卷數不詳]
世界姚氏宗亲联谊会
点击图片可放大欣赏
原文链接可交流
http://xn--rhqsor9z4vbj00bnvmerq.com/forum.php?mod=viewthread&tid=24750&fromuid=4
(出处: 世界姚氏宗亲网)
编辑 姚 波
根据姚福康在四川姚氏宗亲联谊会第二届代表大会 -泸州年会上的《家风 家教 家德》演讲文字整理录出
点分享
点点赞
点在看
{$intro}
自定义html广告位
1世姚会|乙巳蛇年新春寄语
1第一批网红奶茶正悄悄消失?网红为啥不红了?
137℃已成为历史,人类体温越来越低意味着什么?
1湖南宁远九嶷山隆重举行壬寅年祭祀舜帝大典
1
1姚鸿锋--书法名家(舜博会参展商)
1省、市级媒体关注盐湖区舜帝德孝文化节开幕式
1庚子年恭祭虞舜圣帝大典在舜帝公园举行
1舜文化探源〖汇编〗
1鲜为人知的山西洪洞县万安镇万安村 “姚商院”
1宗族文化 || 中国人以家族字辈起名的传统,细思大有好处
1震撼!央视频道《尧舜之都》该知道的历史
1舜帝的都域和故里在山西永济
12019年农历腊月初五开创舜节
1深圳欢迎您!
1《寻找战略合作伙伴,推进姚氏中医药产能化!》
1瑞尔琳娜法国红酒
1腊日三章---姚永安
1百年传承,受益世人
1贵州毕节姚彬
工作时间 周一至周五 8:00-17:30
微信公众号
微信客服号
粤公网安备44030502001739 Copyright ©2018-2024 粤ICP备17140240号
大舜天成 (深圳)电子商务有限公司 版权所有